![]() |
![]() |
Fengliang Li and Xinlei Chen
Tsinghua University, Beijing, PR China
With the rapid development of information technologies, distance education has become “another form of product differentiation in the output mix produced by the multi-product university or college” (Cohn & Cooper, 2004, p. 607). This article aims at analyzing the economies of scope of distance education (as an educational output) in Chinese research universities. The empirical results show that a) product-specific economies of scope do exist in distance education programs offered by Chinese research universities; b) there are economies of scale in distance education; and c) there are weak cost complementarities between distance education and research output, meaning that distance education and academic research can promote each other to reduce the costs in Chinese research universities.
Keywords: Distance education; economies of scope; multiproduct organization; Chinese research universities
Before the 1960s, distance education had been on the margin of the contemporary education system around the world. Distance education was provided by private, profit-oriented institutions to disadvantaged populations as a means to support their desire for achieving greater equity and equality of opportunity to access education. Since then, distance education has been popularized by various governments with unprecedented passion. Advocates firmly believe that distance education will not only achieve greater equity and equality in higher education, but also take control of the cost of education and maintain it at a manageable level. In particular, the development of information technologies has revolutionarily expanded the range of distance education, resulting in a general improvement in its attractiveness, quality, effectiveness, and efficiency (Siaciwena, 2008).
In recent years, some researchers have argued that the development of information technologies, especially the Internet, has enabled Internet-based distance education to become “another form of product differentiation in the output mix produced by the multi-product university or college” (Cohn & Cooper, 2004, p. 607) and allowed research-intensive universities to benefit from distance education (Garrison & Anderson, 1999). However, prevailing current studies on the input and output of distance higher education have focused on their economies of scale1 (Rumble, 1976, 1997; Wagner, 1977; Abrioux & Ferreira, 2009) rather than their economies of scope2 which regards distance higher education as part of a multiproduct.3 In response, Cohn and Cooper (2004, p. 609) suggest it is necessary to study distance education as a “product mix of the typical university and college.” Two recent studies also investigate the economies of scope in distance education through theoretical analyses and discussions4 (Bramble & Panda, 2008; Morris, 2008). However, these researchers do not seem to have conducted the empirical analyses of the economies of scope of distance education by higher education institutions (HEIs hereafter) as one of multiple outputs; although, they acknowledge the importance of distance education as an educational output and the necessity of inquiring into the cost relations of distance education with other educational outputs5 as well as research outputs of HEIs. With an objective to fill this research gap, this article adopts the methodology of Cohn et al. (1989) and focuses on an empirical study on the economies of scope of distance education in research universities in China.6
The paper is structured in the following way: introduction of distance higher education in China, methodology (multiproduct cost function), data, results, and conclusions.
Distance higher education in China is a later initiation than that of the developed countries; yet, it has been paid close attention by the Chinese government since the establishment of P.R. China in 1949. In the early 1950s, Renmin University of China and Northeast Normal University began to provide distance higher education. By the early 1960s, different provinces nationwide had witnessed the establishment of specific distance education institutions and the Radio and Television Universities (Ding, 2001, p. 91). During the Cultural Revolution (1966-1976), the contemporary education system in China was almost destroyed. In the years after the Cultural Revolution, the Chinese government realized the importance of quickly recovering and upgrading the shattered education system. One of the benchmarks is the establishment of the Central Radio and Television University of China in 1979, leading the development of distance education nationwide. The Central Radio and Television University of China, directly led by the Ministry of Education (MOE hereafter), is dedicated to distance higher education, whose main role is to
provide opportunities of higher education for professionals in different industries and enterprises as well as for other members of the society…to plan overall and comprehensive usage of open universities’ educational resources from all over the country and to establish a distance education system of public services to provide support for distance education to colleges, universities, and other educational institutions.7
From 1979 to 1998, the task of providing distance higher education was mainly shared within the national Radio and Television University system, that is the specific institutions for distance higher education, including the Central Radio and Television University of China and other provincial or municipal Radio and Television Universities.
In the year 1998, the MOE decided to allow general HEIs to become involved in distance higher education, with Tsinghua University8, Zhejiang University, Beijing University of Posts and Telecommunications, and Hunan University as the first four institutions piloting the scheme. In April 2000, the MOE decided to further enlarge the scale of general HEIs providing distance education due to the information technology boom in China at that time. Thirty more general HEIs were added to the list of distance higher education providers of degree programs (Ding, 2001, p. 100). By 2009, sixty-eight HEIs had been approved as degree program providers by means of distance education by the Ministry of Education (MOE, 2009).
The scale of distance education in general Chinese HEIs has been expanding (see Figure 1, which indicates the enrollments of distance education in general HEIs by year). Distance education has become an important educational output for the participating general HEIs as well as an important component of the total cost of these HEIs, making it possible for us to include distance education in the multiproduct function9 in HEIs so as to conduct an empirical study on the characteristics of its cost complementarities10 with other outputs and the product-specific economies of scope of distance higher education.

Baumol et al. (1982) pioneered the invention of a comprehensive set of cost-efficiency analysis methods for multiproduct organizations, pointing out the three most frequently used functions: quadratic, CES (constant elasticity of substitution) and hybrid translog cost function11. This set of analysis methods has been widely applied in banking, transportation, public facilities, telecommunication, and health care as well as many other multiproduct organizations.
Additionally, Cohn et al. (1989) applied this set of analysis methods to the study of HEI outputs which investigated the economies of scope of US public and private HEIs with the help of the quadratic cost function. The majority of empirical studies on the economies of scope of higher education so far have adopted quadratic cost function (Lewis & Dundar, 1995; Koshal et al., 2001; Laband & Lentz, 2003; Sav, 2004; Cesar, 2006; Hou et al., 2009), with only a few exceptions adopting CES (Johnes, 1997; Izadi et al., 2002) and hybrid translog cost function (de Groot et al., 1991; Glass et al., 1995; Nelson & Hevert, 1992; Stevens, 2005), while in more recent literature SFA (stochastic frontier analysis) has been adopted (Johnes, 1996; Izadi et al., 2002; Stevens, 2005; Johnes et al., 2008).
The primary objective of this research is to study the economies of scope of distance education provided by general HEIs rather than to compare the advantages and disadvantages of the various functions mentioned above. In light of this point, this article adopts the quadratic cost function due to its wide application.
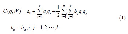
Thus, the cost function is as follows:

where C is the total cost of producing k products, and qi is the output of the ith product.
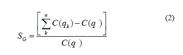
Generally economies of scope are divided into global and product-specific economies of scope.12 Global economies of scope measure how much can be saved from joint production of multiple products compared with a separate process, which means that a certain HEI can produce all products more cheaply than a combination of separate HEIs can.
Global economies of scope are defined as follows:

Global economies of scope exist if
is greater than zero.
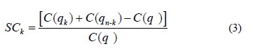
Product-specific economies of scope are also to be examined since scales of all products may not increase (or decrease) proportionally. Product-specific economies of scope are given by

Product-specific economies of scope associated with product k exist if
is greater than zero, which means a certain HEI can produce product k more cheaply with other products than a combination of separate HEIs can.
For a multiproduct organization, the interaction items of cost functions indicate the existence of cost complementarities in joint production. For doubly differentiable cost function, weak cost complementarities exist if the two products k and l meet the following inequality:


All the data in this article comes from the 2008 Statistics of HEIs under Direct MOE Supervision. Currently there are 75 universities under the direct supervision of MOE, which are nearly all at the top of the pyramid among all Chinese HEIs and are all research-oriented (Hou et al, 2009).
Based on previous studies, this article divides HEI outputs into four categories: (1) undergraduate educational output; (2) graduate educational output (including master and doctoral degrees); (3) research outputs; and (4) distance education13. Table 1 provides the definition of variables included in this study. Table 2 shows the basic statistical description of variables.
There are three highlights in Table 1. First, although public service is an important output of HEIs, the data constraint has been a major obstacle to include them in the cost functions in the studies carried out so far. Therefore, this article does not consider it. Second, some studies have controlled for production quality (de Groot et al., 1991; Dundar & Lewis, 1995; Glass et al., 1995; Stevens, 2005; Johnes et al., 2008), and some scholars have tried to take better control of other input factors through including the average staff salary or teaching costs in their studies (Hashimoto & Cohn, 1997; Koshal et al., 2001; Laband & Lentz, 2003; Cesar, 2006). However, given the limitation of data accessibility, this study does not control for either of the two variables mentioned above. Third, as pointed out by Cohn et al. (1989) and some other scholars, there is no consensus on appropriate measures of output, especially the research output; and there should be a high correlation between research output and research expenditure. In the absence of a better alternative, many empirical studies used research expenditure as the measure of research output (Cohn et al., 1989; Koshal & Koshal, 2000; Stevens, 2005; Hou, et al., 2009). Our study also follows the practice of existing empirical studies.
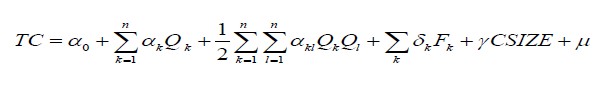
First we use the OLS method to estimate the flexible fixed cost quadratic (FFCQ) function.
The FFCQ function is in the following form:

where TC is total cost, Qk is the kth output, and Fk is the dummy variable which assumes the value 1 for positive amounts of the output Qk and the value zero otherwise.
is constant,
and
are coefficients, and
is an error term.
As this study is conducted on the basis of cross-sectional data, the presence of heteroscedasticity should be tested. Through the White heteroscedasticity test, we found that the presence of heteroscedasticity cannot be rejected. One way to correct for heteroscedasticity is to compute the weighted least squares (WLS). The regression of weighted least squares is shown in Table 3.
The following can be concluded through the estimation of weighted least squares. As shown in Table 3, the relation among the coefficients is QD < QU < QG, which indicates that when educational outputs are of small scales, the relation of their average cost is that distance education < undergraduate education < graduate education. This indicates that when the distance education of a research university remains at a small scale, the average cost of it is lower than that of general undergraduate education. There are two possible explanations. One is that distance education has cost advantages compared with general education. The other is that distance education is equivalent to low-quality education compared with general education (Siaciwena, 2008). Other conclusions are as follows.
Now the question is whether specific-product economies (hereafter PSE) of scope in distance education exist when provided by Chinese research universities. The formula is as follows:

Firstly, we conduct the calculation under the 100% output level14, which results in PSED = 0.0933. Thus it can be concluded that presently the product-specific economies of scope for distance education exist in Chinese research universities and that providing distance education, on top of general education and research output, is conducive to reducing the cost and increasing the total output of a university.
Secondly, we analyze the PSED for different levels of output. Calculations have been conducted based on two different scenarios: 1) HEIs only make changes to the scale of their distance education; and 2) the scale of every HEI output changes by the same proportion. The results are shown in Table 4.
From Table 4 we can see that at the output level from 50% to 140%, PSE of scope do exist in the output of distance education among the Chinese research universities, which shall disappear either when the output of distance education reaches a 220% level of its present scale in scenario 1 or when all outputs reach a 150 % level of their present scale in scenario 2. Therefore, research universities should consider the subsystems of general education and research when planning distance education, or they may wrongly estimate the reasonable boundary of economies of scope so that diseconomies of scope may arise.

As distance education has become an important educational output of general HEIs, some scholars believe that it is necessary to study its economies of scope (Cohn & Cooper, 2004; Morris, 2008). Since Chinese universities started to offer distance higher education in 1998, 70 general universities have been qualified as providers. These universities, research-based in nature, are at the top of the academic pyramid, and their distance education is still developing. Thus, we want to empirically verify and analyze whether providing distance education can bring economies of scope or not, which is the main objective of this research.
This article focuses on the 75 general HEIs directly supervised by the Chinese Ministry of Education and is an empirical study of the economies of scope for distance education in Chinese research universities. The results show that the economies of scope do exist in distance education output in research universities, confirming the cost advantages of general universities to provide distance education. However, the product-specific economies of scope in distance education have negative correlation with the increase of the output of distance education and may be exhausted either when the output reaches 220% of the present average (while keeping other outputs unchanged) or when the equal proportionate growth of every output reaches 150% of the present level. This indicates that instead of incessantly promoting distance higher education, general universities should consider the cost of general higher education and research output and manage the cooperation and sharing of resources among the three.
The article further analyzes the reasons why distance education of general universities can bring about economies of scope. According to general opinion, one of the important reasons is the cost complementarities between the educational output of distance education and general education. Such cost complementarities include the sharing of teachers, facilities, and so on (Morris, 2008). However, the empirical results in this article do not support such general opinion, which we believe is due to the operational mechanism of distance education in research universities. There are essentially two independent subsystems for general and distance education with separate facilities, faculty, and education management platforms and little communication and interaction between them.
If economies of scope do not result from the cost complementarities of distance and general education, what do they come from? What we have found is the existence of weak cost complementarities between distance education and research output, meaning that research output can reduce the average cost per student of distance education, enabling the university to produce more output with the same cost. As stated above, we find that distance education and academic research can promote each other, which has rarely been mentioned in previous studies and discussions on the economic issues of distance education. Such phenomenon evinces the feasibility of providing a new type of output (i.e., distance education on top of general education and research output). It also verifies that as multiproduct organizations, general research universities have been suitable institutions for the pilot programs of distance higher education launched by the Chinese Ministry of Education.
Furthermore, the results show that the average cost of distance education is lower than that of undergraduate or graduate education and is negatively correlated with the increase of its output. Therefore, scale production is economic for distance education, confirming the conclusion of the existence of economies of scale in distance education by previous studies (Rumble, 1976, 1997; Wagner, 1977).
In conclusion, there are economies of scope in distance education due to the weak cost complementarities between distance education and research output. However, the boundary of economies of scope does exist, and research universities therefore should avoid excess growth in distance education so as not to cross the boundary. We also find that there is no complementarity between general and distance education. The most possible reason might be that the universities have two independent subsystems for general and distance education. Therefore, we suggest that universities should promote the integration and resource-sharing of the two systems so as to lower the cost, increase the output, and achieve greater economies of scope.
Research for this article received support from the Beijing 11th Five-Year Plan of Educational Science, Youth Issues, Research on the cost-efficiency of teaching, academic research and social service in Beijing’s Research Universities Project (No. CDA10104).
The author wishes to thank the reviewers for their helpful comments on earlier drafts. The author is also grateful to Miss Fan Yueqian, Miss Gong Jingtian, and Dr. Zhang Yu who have made many useful suggestions and modifications to this article’s wording.
Abrioux, D., & Ferreira, F (2009). Perspectives on distance education: Open schooling in the 21st Century. Vancouver: Commonwealth of Learning.
Baumol, W. J., Panzar, J. C., & Willig, R. D.(1982). Contestable markets and the theory of industry structure. New York: Harcourt Brace Jovanovich.
Cesar C. R. (2006). Estimating the degree cost functions of the Philippines public and private higher educational institutions. Asia Pacific Education Review, 7(1), 32-40.
Cohn, E., & Cooper, S.T. (2004). Mulit-product cost functions for universities: Economies of scale and scope. In G. Johnes & J. Johnes (Eds.), The International handbook on the economics of education. Cheltenham: Edward Elgar.
Cohn, E., Rhine, S. L. W., & Santos, M. C.(1989). Institutions of higher education as multi-product firms: Economies of scale and scope. Review of Economics and Statistics, 71(2), 284-290.
Curran, C. (2008). Online learning and the university. In W.J. Bramble & S.K. Panda (Eds.), Economics of distance and online learning: Theory, practice, and research. New York: Routledge.
De Groot, H., McMahon, W. W., & Volkwein, J. F.(1991). The cost structure of American research universities. Review of Economics and Statistics, 73(3), 424-431.
Ding, X.F. (2001) The research in distance education (in Chinese). Beijing: Beijing Normal University Press.
Dundar, H., & Lewis, D. R. (1995). Departmental productivity in American universities: Economies of scale and scope. Economics of Education Review, 14(2), 199-244.
Glass, J.C., McKillop, D.G., & Hyndman, N.S.(1995) The achievement of scale efficiency in UK universities: A multiple-input multiple-output analysis. Education Economics, 3(3), 249-263.
Hashimoto, K., & Cohn, E. (1997). Economies of scale and scope in Japanese private universities. Education Economics, 5(2),107-115.
Hou L., Li F., & Min W.(2009). Multiproduct total cost functions for higher education: The case of Chinese research universities. Economics of Education Review, 29(4),374–381.
Izadi, H., Johnes, G., Oskrochi, R., & Crouchley, R.(2002). Stochastic frontier estimation of a CES cost function: The case of higher education in Britain. Economics of Education Review, 21(1), 63-71.
Johnes, G. (1996). Multi-product cost functions and the funding of tuition in UK Universities. Applied Economics Letters, 3(9), 557-561.
Johnes, G. (1997). Costs and industrial structure in contemporary British higher education. Economic Journal, 107(442), 727-37
Johnes, G., Johnes, J., & Thanassoulis, E.(2008). An analysis of costs in institutions of higher education in England. Studies in Higher Education, 33(5), 527-549.
Koshal, R. K., & Koshal, M. (2000). Do liberal arts colleges exhibit economies of scale and scope? Education Economics, 8(3), 209-220.
Koshal, R. K., Koshal, M., & Gupta, A. (2001). Multi-product total cost function for higher education: A Case of Bible colleges. Economics of Education Review, 20(3), 297-303.
Laband, D. N., & Lentz, B. F. (2003). New estimates of economies of scale and scope in higher education. Southern Economic Journal, 70(1), 172-183.
Lewis, D. R., & Dundar, H. (1995). Economics of scale and scope in Turkish universities. Education Economics, 3(2), 133-157.
MOE (2009). The notice of Ministry of Education on the enrollment in distance higher education for degree programmes (in Chinese). Beijing: Department of Higher Education, MOE).
Morris, D. (2008). Economies of scale and scope in e-learning. Studies in Higher Education, 33(3), 331-343.
Nelson, R., & Hevert, K. T. (1992). Effect of class size on economies of scale and marginal costs in higher education. Applied Economics, 24(5), 473-482.
Randy, D. G., & Anderson D. T. (1999). Avoiding the industrialization of research universities: Big and little distance education. American Journal of Distance Education, 13(2), 48-63.
Rumble, G. (1976). The economics of the Open University. Milton Keynes: OU.
Rumble, G. (1997). The costs and economics of open and distance learning. New York: RoutledgeFalmer.
Sav, G. T.(2004). Higher education costs and scale and scope economies. Applied Economics, 36(6), 607–614
Siaciwena, R. (2008). Distance education/learning. In G. McCulloch & D. Crook (Eds.) The Routledge international encyclopedia of education. New York: Routledge.
Stevens, P.A.( 2005). A stochastic frontier analysis of English and Welsh universities. Education Economics, 13(4),355-374.
The Department of Development and Planning, MOE.(1998-2009). The educational statistics yearbook of China (in Chinese). Beijing: People’s Education Press.
Wagner , L. (1972). The economics of the Open University. Higher Education, 1(2), 150-83.
1 Economy of scale, in microeconomics, refers to the decrease in average cost (cost per unit) due to expansion of the scale for a single product type in an organization.
2 Economy of scope is conceptually similar to economy of scale. It refers to cost advantages for an organization in producing two or more products. Economy of scope can arise from the sharing or joint utilization of inputs and lead to reductions in unit costs. An example would be the benefits of teaching from academic research in universities.
3 According to economics of education, universities are typical multiproduct organizations since universities usually tend to have a broader set of products, such as teaching and academic research.
4 These two studies focus on the economies of scale and scope of online learning or e-learning. However, according to Siaciwena (2008), although distance education has been widely carried out, it does not have a unified definition of consensus because of the multiplicity of service purposes and the variety of media utilized. In fact, terms such as opening learning, flexible learning, and online or e-learning have been used as substitutions. In this article, online learning or e-learning is regarded as equivalent to distance education if there is no special explanation.
5 The distance education studied in this article refers to degree programmes, which should be regarded as an educational output of HIEs, instead of nondegree programmes, (i.e., training programs which should be regarded as a public service output).
6 If there is no special explanation, China in this article refers to mainland China, which does not include Hong Kong, Taiwan, and Macau.
7 For more information about the Central Radio and Television University of China, please refer to its homepage, http://en.crtvu.edu.cn/about/general-information. It will be renamed National Open University.
8 Tsinghua University announced in 2004 that it would no longer provide degree programmes by means of distance education.
9 In microeconomics, a multiproduct function is a function that specifies costs of two or more outputs for all combinations of inputs in an organization.
10 In a multiproduct organization, cost complementarities exist when the marginal cost of producing one output is reduced when the output of another product is increased.
11 Quadratic, CES, and hybrid translog cost function are econometric terms. The article includes other econometric terms. Readers who have no interest in econometrics can ignore these terms.
12 The product-specific economy of scope exists when the product can bring cost advantages for the multiproduct organization.
13 In China, presently there is no master or doctoral degree program available through distance education.
14 Those who are interested in the detailed calculation process may contact the author.